シラーPEについて
2025年12月7日 04:51
シラーPEについて説明します。
まずシラーというのはイェール大学の教授、ロバート・シラーから来ています。彼が提唱した「シラーPE」もしくはCAPE:cyclically adjusted price earnings ratioとは「そもそも企業収益はボラタイルだし、その時々のインフレ率に応じて名目収益は歪められやすい」という観点からそれを補正したEPSで株価収益率を計算してやろうとする試みです。
数式は下になります;

P=S&P500
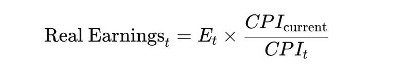
Real Earnings=EPSからインフレを割り引いたもの→数式で表すと;

になります。それの過去10年間の平均値を取るわけです;

こうやって計算されたシラーPEは下の青の線になります。

(出典:ブルームバーグ)
いまシラーPEが高いとき、その時点でS&P500を買い、10年間保有したときの実質超過リターンが黒の線で示されています。するとシラーPEが高い時に米国株を買うと10年我慢して抱いていてもマイナスになっていることがわかります。
これは**「PERがバカ高い時、株を買っても、ろくなことはない」ということを立証しています。
但しシラーPEは10年の平均という長い期間を使用している関係で、今週、今月、今期…というような短期でのマーケット・タイミングを測るツールとしては殆ど役に立ちません。**